Probiotics Show No Benefit for Children with Acute Gastroenteritis
|
Top Breakthrough Discovery | Published November 2018 in The New England Journal of Medicine |

David Schnadower, MD
Hype abounds about the wonders of probiotics. But when evaluated by scientists as a would-be treatment to ease the misery of acute gastroenteritis in children, so-called “good bugs” failed to show any value at fighting off “stomach bugs.”
That’s the finding of a widely-shared study led by David Schnadower, MD, senior academic director, in the Division of Emergency Medicine at Cincinnati Children’s, and colleagues at Washington University and St. Louis Children’s Hospital.
Schnadower’s team had noted that many doctors would recommend, and that many parents were buying probiotic products in hopes of easing the vomiting and diarrhea that can occur with stomach viruses. The scientific evidence supporting such use was inadequate.
However, based on the premise that probiotics are relatively safe and may help—a premise promoted by the $32 billion dollar probiotic industry—many families have come to believe that probiotics can help ease illness, allegedly by restoring the balance of intestinal bacteria and boosting the immune system.
The issue at hand is serious. Gastroenteritis accounts for 1.7 million pediatric emergency visits and more than 70,000 hospital admissions a year.
“Some smaller studies had indicated that probiotics may help. However, such studies had a number of limitations. We sought to provide independent and conclusive evidence for or against probiotic use in infants and toddlers with acute gastroenteritis,” Schnadower says.
So a test began.
Harmless and useless
The U.S. study involved nearly 1,000 children ages 3 months to 4 years, who were treated between July 2014 and June 2017 at 10 medical centers. This project evaluated Lactobacillus rhamnosus GG (LGG), a popular probiotic sold over-the-counter as Culturelle—and the probiotic with the most prior evidence for effectiveness in gastroenteritis. A similar study in Canada, also co-authored by Schnadower, evaluated a different combination probiotic—Lacidofil.
“Parents are better off saving their money and using it to buy more fresh fruits and vegetables for their children.”
Participants were eligible if they had come to the emergency room with diarrhea caused by gastroenteritis lasting fewer than seven days. They also had to have not taken probiotics in the preceding two weeks.
Half of the children in the study were randomly assigned to receive the probiotic LGG twice daily for five days, while the others took an identical looking and tasting placebo. Otherwise, the children received the same standard of clinical care.
Neither the researchers nor the parents knew which children had received the probiotics.
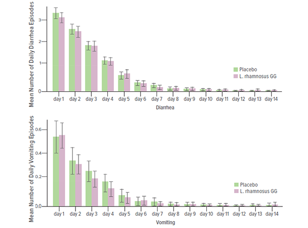
Regardless of whether the children took a placebo or probiotic, their symptoms and recovery were nearly identical. Diarrhea in both groups lasted about two days and children missed an average of two days of daycare.
“We tested many different scenarios—infants compared with toddlers, whether the patient had taken antibiotics, whether the gastroenteritis was caused by virus or bacteria, and how long the diarrhea had been going on before the treatment was given. We also had the probiotic independently tested for purity and strength. Every time, we reached the same conclusion,” Schnadower says. “LGG did not help.”




