Interventions to Prevent Hospital Re-Visits May Encourage Them Instead
Published July 2018 and September 2018 | Pediatrics and JAMA Pediatrics
As healthcare policy increasingly penalizes providers for unnecessary hospital readmissions, efforts have turned to phone calls or in-home visits by nurses within 96 hours of a child’s discharge to reassure parents and caregivers and potentially prevent readmissions.
However, two studies led by researchers in the Division of Hospital Medicine, find that both interventions had the opposite or no effect.
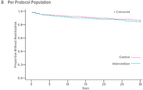
The studies, part of the Hospital-to-Home Outcomes (H2O) trial, involved 1,500 and 966 children, respectively. In the first study, families that received an in-home nurse visit had a 30-day readmission rate of 17.8% compared to 14% in the control group. In the second study, phone calls made within four days of discharge resulted in 15.9% readmission rate versus 13.1% for those not receiving calls, although this difference was not statistically significant.
Lead researcher Katherine Auger, MD, MSc, says the findings indicate that additional post-discharge information might actually encourage hospital re-visits by better educating families.
“We gave them so much information that parents reacted with ‘Oh, I didn’t know I was supposed to watch out for that,’ and they returned to the emergency department or urgent care," Auger says. “Our findings highlight the importance studying interventions with proven effectiveness in adult patients before implementing them in the pediatric population.”
Auger and her team urge policy makers to reconsider whether readmission rates serve as a useful metric of measuring hospital care quality. Other measures may be more accurate.


 
  
 



