Mucosal Gene Expression Differs Between Ulcerative Colitis and Crohn’s Disease
Published May 2017
Gastroenterology
In exploring a controversy surrounding the role of type 2 immune response in ulcerative colitis (UC), a lack of data from patients prior to treatment has been a persistent obstacle. Additionally, the two forms of inflammatory bowel disease (IBD)—ulcerative colitis and Crohn’s disease—can be difficult to distinguish in children.
Now new research sheds light on both challenges.
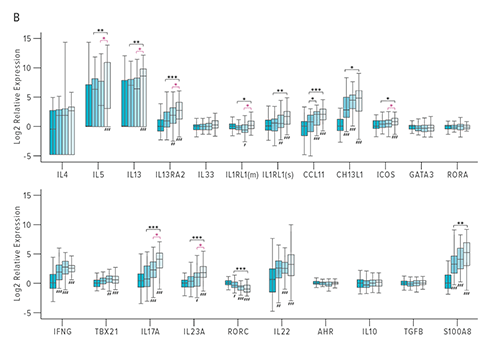
In analyzing rectal tissue samples from IBD patients, an international research team observed activation of a type 2 immune response during UC development, and could distinguish UC patients from those with colon-only Crohn’s disease, based on increased mucosal expression of type 2 and type 17 immune response genes. They noted a direct association between increased expression of genes that mediate a type 2 immune response, and response to therapy in UC patients.
The team was led by Michael Rosen, MD, MSCI, and Lee Denson, MD, of the Inflammatory Bowel Disease Center, and involved co-authors from 19 institutions and the divisions of Pathology, Allergy and Immunology, and Gastroenterology at Cincinnati Children's.
One result was particularly surprising.
Researchers hypothesized that UC patients with elevated type 2 mucosal immune response would be more treatment-resistant, because no available therapy specifically targets type 2 cytokines.
“We found exactly the opposite,” explains Rosen. “These patients were actually much more likely to respond to initial treatment.”
One potential explanation is that induction of a type 2 immune response in these patients may be a beneficial response to the global inflammation in UC and helps to protect and heal the lining of the colon.
“Now we need to determine the mechanism underlying this association,” Rosen says. “By understanding this better, we can develop novel therapies.”







